14574.10 16813_R4
B14574.10.16813
ID2
LocationNorway
Approximate number of models30
Approximate size282 GB
Soapstone artifacts originate from Late Mesolithic or Early Neolithic sites in Western Norway (there are also several stray finds). Only those in the Late Mesolithic layers can be securely attributed stratigraphically. Chronologically they are attributed to 6400-3300 BCE and represent a material culture of the fishing oriented Stone Age societies of the region.
Dataset includes 30 sinkers for line fishing. They are various in size and shape. All are engraved with one or several lines that are the subject of further technological study. Usually, such sinkers are featured with furrow — a wider engraving supposedly used to tighten the line. There are also finer ones, often read as ornamentation. The origin of soapstone is suspected to be local, but is generally unclear.
ID
B14574.10.16813
A soapstone sinker with flat front and back sides. Lengthwise furrow is straight and shallow. The side notches are located on the left, write, top, and bottom sides of the sinker. The engravings are reddish. The archaeological context is unknown.
Information
Artifact material
Soapstone
Artifact is experimentally produced
No
Tool material [attributed]
Quartz
Tool type [attributed]
Blade
Surface modification strategy description
Attributed as sawing with an edge of the quartz tool
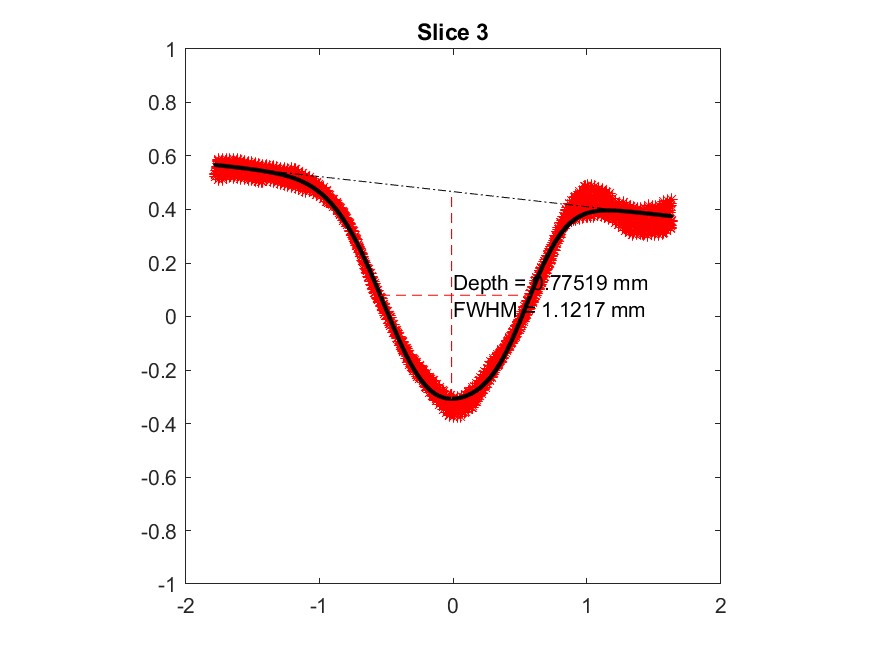
Number of slices
8
Aperture
96°
Depth
82117739 mm
FWMH
120756 mm
Extremum points, [MP]
2.5
Frequency of MP change per mm
1.5
Depth / FWMH ratio
686977
Comments on the slices analysis
N/A
Link to the data
N/A

