14574.10 17587_R3
B14754.10.17587
ID2
LocationNorway
Approximate number of models30
Approximate size282 GB
Soapstone artifacts originate from Late Mesolithic or Early Neolithic sites in Western Norway (there are also several stray finds). Only those in the Late Mesolithic layers can be securely attributed stratigraphically. Chronologically they are attributed to 6400-3300 BCE and represent a material culture of the fishing oriented Stone Age societies of the region.
Dataset includes 30 sinkers for line fishing. They are various in size and shape. All are engraved with one or several lines that are the subject of further technological study. Usually, such sinkers are featured with furrow — a wider engraving supposedly used to tighten the line. There are also finer ones, often read as ornamentation. The origin of soapstone is suspected to be local, but is generally unclear.
ID
B14754.10.17587
An oval coffee bean-shapedfean shaped sinker with t lengthwisebhe lenthwise furrow and a set of shallow inceatures isions. The frot part is featured with the "ribs-like" parallel diagonal lines, while the back one is covered with cross-hatchets. The surface is slightly damaged. The archaeological context is unknown.
Information
Artifact material
Soapstone
Artifact is experimentally produced
No
Tool material [attributed]
Quartz
Tool type [attributed]
Blade
Surface modification strategy description
Attributed as sawing with an edge of the quartz tool
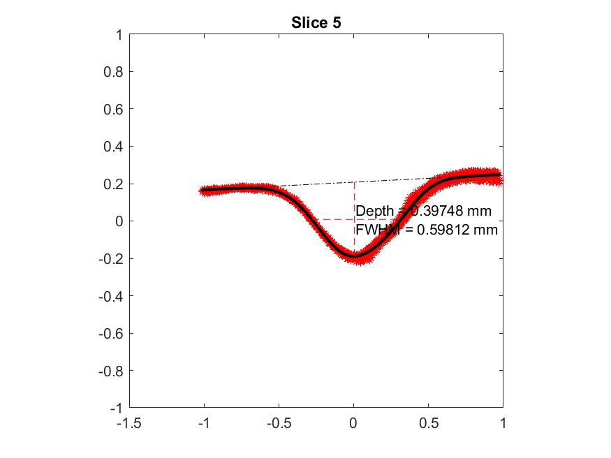
Number of slices
8
Aperture
89°
Depth
41784492 mm
FWMH
520153 mm
Extremum points, [MP]
1.67
Frequency of MP change per mm
2.67
Depth / FWMH ratio
818408
Comments on the slices analysis
N/A
Link to the data
N/A
Other engraved fragments
14574.10 17587_R4
B14754.10.17587
14574.10 17587_L3
B14754.10.17587
14574.10 17587_F12
B14754.10.17587
14574.10 17587_F10
B14754.10.17587
14574.10 17587_F3
B14754.10.17587
14574.10 17587_F0
B14754.10.17587

14574.10 17587_B9
B14754.10.17587
14574.10 17587_B6
B14754.10.17587

14574.10 17587_B0
B14754.10.17587