EPO2.14_F5
EPO2.14
ID3
LocationNorway
Approximate number of models23
Approximate size132 GB
Experimentally produced objects for the purpose of the TEMPA 3D project. Experiments were held in January and November 2024, and included engraving of soapstone from Rennesøy and Målslev and sandstone from Kamyana Mohyla. Experimentally produced objects were specifically designed to look at the technological traces of the surface modification processes via image-based 3D modeling.
Dataset includes 23 models of the experimentally produced objects. Among other this includes flint and quartz marks on soapstone, sandstone, bone, and antler as well as experimental replicas of Kamyana Mohyla churinga and soapstone line sinkers. For most engravings the modification time was recorded along with the production tool. The accuracy of the models in the dataset are around 0.1 mm, the resolution — around 0.03 mm.
ID
EPO2.14
A piece of the red deer antler engraved (sawed) on its front part for the recorded period of time — 30s, 60s, 90s, and 120s. Tools got blunt relatively fast and got a teeth-like structure that slightly worthed the saawing efficiency.
Information
Artifact material
Antler
Artifact is experimentally produced
Yes
Tool material [known]
Flint
Tool type [known]
Blade
Surface modification strategy description
Sawing
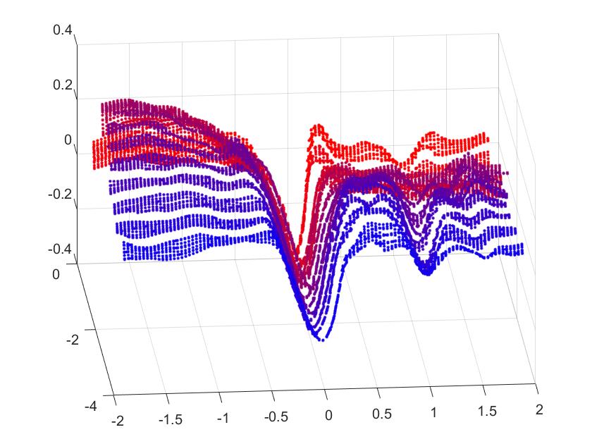
Number of slices
15
Aperture
82°
Depth
0.6544681528 mm
FWMH
0.643787436 mm
Extremum points, [MP]
1
Frequency of MP change per mm
N/A
Depth / FWMH ratio
0.9496215419
Comments on the slices analysis
Engraved with flint blade during a recorded time to test the reaction of the surface on the engraving process. Recorded time is 60s. Engraved by the same person and within one experimental session. It was sometimes challenging to grip into the antler's surface, therefore engraving is often accompanied with shallower curved lines. The material that was sawed out of the engraving often resides on it's contours.
Link to the data
N/A




