ER2.8_F1
ER2.8
ID3
LocationNorway
Approximate number of models23
Approximate size132 GB
Experimentally produced objects for the purpose of the TEMPA 3D project. Experiments were held in January and November 2024, and included engraving of soapstone from Rennesøy and Målslev and sandstone from Kamyana Mohyla. Experimentally produced objects were specifically designed to look at the technological traces of the surface modification processes via image-based 3D modeling.
Dataset includes 23 models of the experimentally produced objects. Among other this includes flint and quartz marks on soapstone, sandstone, bone, and antler as well as experimental replicas of Kamyana Mohyla churinga and soapstone line sinkers. For most engravings the modification time was recorded along with the production tool. The accuracy of the models in the dataset are around 0.1 mm, the resolution — around 0.03 mm.
ID
ER2.8
Replica of a soapstone sinker made from the Rennesøy soapstone. It was grinded on a sandstone block and engraved. Engravings were made with quartz and flint tools and with a sandstone piece with sharp edges. Side notches were produced with different tools to allow further comparison.
Information
Artifact material
Soapstone
Artifact is experimentally produced
Yes
Tool material [known]
Flint
Tool type [known]
Blade
Surface modification strategy description
Sawing
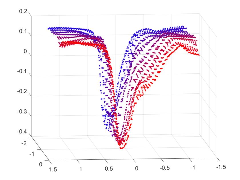
Number of slices
9
Aperture
81°
Depth
0.5006681136 mm
FWMH
0.3544398132 mm
Extremum points, [MP]
1.666666667
Frequency of MP change per mm
1.333333333
Depth / FWMH ratio
1.412561724
Comments on the slices analysis
N/A
Link to the data
N/A






