Main Image
Image

S10358.e_D1

S10358e

ID2
LocationNorway
Approximate number of models30
Approximate size282 GB
Soapstone artifacts originate from Late Mesolithic or Early Neolithic sites in Western Norway (there are also several stray finds). Only those in the Late Mesolithic layers can be securely attributed stratigraphically. Chronologically they are attributed to 6400-3300 BCE and represent a material culture of the fishing oriented Stone Age societies of the region.
Dataset includes 30 sinkers for line fishing. They are various in size and shape. All are engraved with one or several lines that are the subject of further technological study. Usually, such sinkers are featured with furrow — a wider engraving supposedly used to tighten the line. There are also finer ones, often read as ornamentation. The origin of soapstone is suspected to be local, but is generally unclear.
ID
S10358e
An orange-grey sinker with a lengthwise furrow and side notches at the narrower left, right, top, and bottom parts. The archaeological context is secure, as well as the chronological attribution.

Information

Artifact material
Soapstone
Artifact is experimentally produced
No
Tool material [attributed]
Flint
Tool type [attributed]
Blade
Surface modification strategy description
Attributed as sawing with an edge of the flint tool
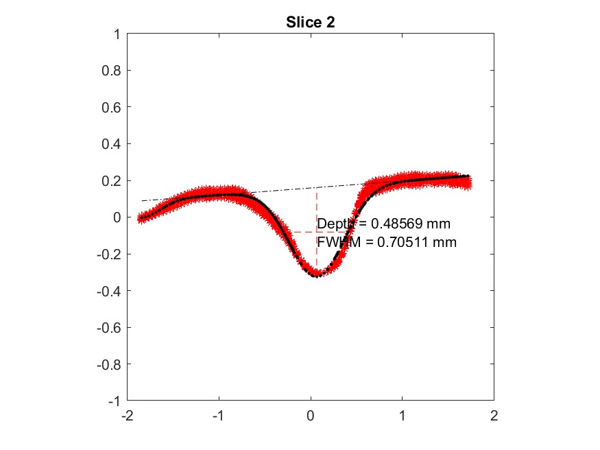
Number of slices
12
Aperture
76°
Depth
66251689 mm
FWMH
756005 mm
Extremum points, [MP]
1
Frequency of MP change per mm
N/A
Depth / FWMH ratio
87634
Comments on the slices analysis
N/A
Link to the data
N/A
Scroll to top