S3307r_F6
S3307r
ID2
LocationNorway
Approximate number of models30
Approximate size282 GB
Soapstone artifacts originate from Late Mesolithic or Early Neolithic sites in Western Norway (there are also several stray finds). Only those in the Late Mesolithic layers can be securely attributed stratigraphically. Chronologically they are attributed to 6400-3300 BCE and represent a material culture of the fishing oriented Stone Age societies of the region.
Dataset includes 30 sinkers for line fishing. They are various in size and shape. All are engraved with one or several lines that are the subject of further technological study. Usually, such sinkers are featured with furrow — a wider engraving supposedly used to tighten the line. There are also finer ones, often read as ornamentation. The origin of soapstone is suspected to be local, but is generally unclear.
ID
S3307r
A small grey sinker with a subrectangular shape. The front part is featured with two perpendicular lines. No furrow. Side notches on the top and left sides. Grinding facets are visible. The back side is flatter than the top one. The context is dubious.
Information
Artifact material
Soapstone
Artifact is experimentally produced
No
Tool material [attributed]
Flint
Tool type [attributed]
Blade
Surface modification strategy description
Attributed as sawing with an edge of the flint tool
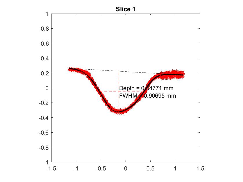
Number of slices
12
Aperture
99°
Depth
58140755 mm
FWMH
965806 mm
Extremum points, [MP]
2.5
Frequency of MP change per mm
1.33
Depth / FWMH ratio
601992
Comments on the slices analysis
N/A
Link to the data
N/A





